Functional Graph Distribution.
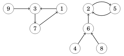
Un grafo funcional es un grafo dirigido donde cada nodo tiene grado de salida 1. Por ejemplo, aquí hay un grafo funcional con 9 nodos y 2 componentes:

Dado , su tarea es calcular, para cada
, el número de grafos funcionales que tienen
nodos y
componentes.
Entrada
La única línea de entrada contiene un entero : el número de nodos.
Salida
Imprima líneas: para cada
, el número de grafos módulo
.
Restricciones
Ejemplo de Entrada
3
Ejemplo de Salida
17
9
1
Comments